科普动态
关注锐赛微信公众号获取即时消息

干细胞疗法让糖尿病痊愈成为可能?301例临床数据公布

来源:yl6809永利官网新媒体中心 发布:2025-08-04 阅读:27

引言


全球6.28亿糖尿病患者的医疗困局,正因干细胞技术的突破迎来转机。


国际糖尿病联盟2024年数据显示,全球糖尿病患者人数已突破6.28亿,其中90%以上为II型糖尿病患者。中国更是糖尿病的“重灾区”,患者总数高达1.48亿,位居全球第一。


传统治疗面临严峻挑战:胰岛素和降糖药仅能暂时调节血糖,无法修复受损的胰岛β细胞;约38%的患者在10年内出现视网膜病变、肾衰竭等并发症。


微信图片_2025-08-04_135858_381


干细胞治疗带来新突破


2025年5月,马来西亚Cytopeutics公司联合多家医疗机构在《糖尿病、代谢综合征与肥胖》期刊发表的研究,为这一困局带来新突破。


微信图片_2025-08-04_135904_800


这项回顾性研究分析了马来西亚细胞治疗患者注册中心2014-2022年间的301例病例,是东南亚首个大规模脐带干细胞治疗糖尿病的真实世界数据分析。


所有患者均接受单次静脉输注50-100×10⁶单位的脐带间充质干细胞(UC-MSCs)。这些细胞来源于足月健康新生儿脐带,经三重病毒筛查及致癌基因检测,制备过程符合GMP标准。


血糖、胰岛素抵抗指数均下降


血液检测数据显示,患者糖化血红蛋白(HbA1c)在治疗后呈现阶梯式下降:6个月随访组从基线7.77%降至7.52%(降幅0.25%,p<0.001),12个月组从7.50%降至7.30%(p=0.016)。


更值得注意的是胰岛素抵抗指数(HOMA-IR),在6个月时显著降低29%(从7.06降至4.91,p=0.007),而空腹胰岛素水平下降21%(18.81→14.88 μU/mL,p=0.048)


微信图片_2025-08-04_135910_125


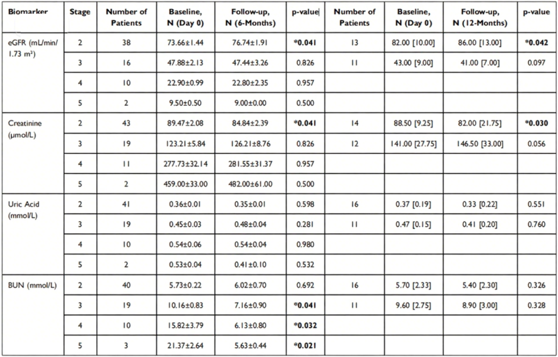
器官保护:肝肾功能的改善


在140例合并慢性肾病(CKD)患者中,处于2期(肾功能轻度下降)的43例患者治疗后估算肾小球滤过率(eGFR)从73.66提升至76.74 mL/min/1.73m²(p=0.041),血清肌酐从89.47降至84.84 μmol/L(p=0.041)。


微信图片_2025-08-04_135915_509


肝脏健康同样得到改善。肝脏超声显示,ALT在6个月时下降7%(30.82→28.71U/L,p=0.015),GGT下降7.3%(33.49→31.06 U/L,p=0.004),表明脂肪肝程度减轻。


微信图片_2025-08-04_135920_680


研究团队特别指出,该疗法对早期糖尿病肾病(CKD 2期)效果显著,但对晚期(4-5期)患者改善有限,建议在疾病早期进行干预。


炎症缓解与代谢调节


在64例基线超敏C反应蛋白(hs-CRP)≥1.5 mg/L(提示慢性炎症)的患者中,6个月时hs-CRP从6.58 mg/L降至4.98 mg/L(p=0.073),至12个月时进一步降至1.45 mg/L(p=0.016),达到正常范围(<3 mg/L)。


微信图片_2025-08-04_135925_000


令人惊讶的是,内分泌功能也得到改善:男性患者的睾酮水平在12个月时提升14%(12.05→13.80 nmol/L,p=0.05),女性雌二醇升高230%(18.4→60.8 pmol/L,p=0.043)。


微信图片_2025-08-04_135929_847


结语


研究显示,干细胞治疗效果受患者病程、年龄和代谢状态影响。马来西亚研究特别指出,该疗法对早期糖尿病肾病效果显著,但对晚期患者改善有限。


干细胞治疗糖尿病领域,中国研究机构已走在世界前列,多项突破性研究为临床转化奠定基础。来自海军军医大学的案例,25年病史患者脱离胰岛素依赖33个月。


2025年3月24日,国家药品监督管理局药品审评中心批准了人脐带间充质干细胞注射液用于2型糖尿病的新药临床试验,这是继去年12月国内首个多能干细胞1型糖尿病药品获批临床之后又一款针对糖尿病治疗的新药。


微信图片_2025-08-04_135936_086


从控糖到修复,糖尿病治疗理念的根本转变已然开始。

cache
Processed in 0.013686 Second.